Vad är hydrotermisk behandling?

Good Grains jobbar med hydrotermisk behandling. Men vad är det egentligen? Här får du allt du behöver veta!

Bakgrund:

Ett korn består av tre lager - skalet, grodden, och frövitan.

  • Skalet (kli) är kornets skyddslager. Tillsammans med aleuronskiktet finns här den högsta koncentrationen av mineraler (som järn, zink och magnesium) liksom kostfiber och B-vitaminer.

  • Grodden är den lilla delen som ska bli en ny planta. Den är näringstät och innehåller mineraler, hälsosamma fetter, e-vitamin och antioxidanter.

  • Frövitan (endospermen) är den största delen av kornet och fungerar som energiförråd. Den består nästan uteslutande av stärkelse (kolhydrater) och lite protein, men är fattig på mineraler och vitaminer.

När man producerar vitt mjöl tar man bort skalet, aleuronskiktet, och grodden. Då försvinner upp till 80% av mineraler och viktiga näringsämnen såsom fibrer.

Forskningen är tydlig: Vi måste äta mer fullkorn (som innehåller alla kornets delar). Biotillgängligheten i fullkorn är dock låg; vår kropp har svårt att ta upp mineralerna. Därför har människor i alla tider bearbetat och berett spannmål för att komma åt näringen, genom:

  • Fermentering (t.ex. surdegsjäsning)

  • Groddning (t.ex. mältning)

  • Rostning (t.ex skrädmjöl)

  • Blötläggning (hydrotermisk behandling)

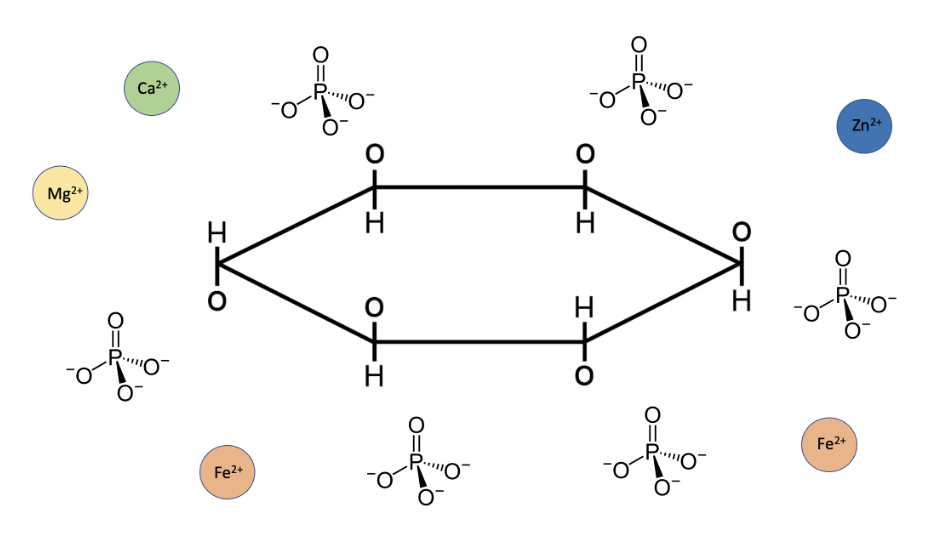
Fytinsyran i fröet binder mineralerna

Fröer som spannmål använder fytinsyra (fytat) för att förvara mineralerna. Då fytinsyran är en för stor molekyl att komma igenom vår tarmvägg, och binder mineralerna som en magnet, blir det svårt för människor som konsumerar spannmål att ta upp mineralerna - de går rätt genom mag-tarmkanalen. Man säger att biotillgängligheten är låg.

När ett frö får rätt förutsättningar i marken med värme, vatten, och pH, så aktiveras enzymet fytas som bryter ner fytinsyran. Då släpps näringsämnena som fröet behöver fria för att kunna skicka ut en grodd.

Det är detta vi gör med vår hydrotermiska metod. Vi lurar fröet att det är vår så att det släpper loss näringsämnena.

Vår hydrotermiska metod

Den hydrotermiska behandlingen sker på kvarnen. Vi stöper (blötlägger) hela spannmålskärnor i vatten vid specifika temperaturer, pH-värden och tider för att aktivera fröets egna enzym fytas som bryter ner fytinsyran. Då frigörs näringen som är bunden i kärnan; mineralerna blir mer biotillgängliga. Vi härmar naturens egna processer.

Efter den hydrotermiska behandlingen så torkar vi kornet. Sedan kan det t.ex. krossas/klippas till matgryn, flingas till gröt eller müsli, malas till mjöl, och så vidare.

Vår metod är baserad på Kerstin Fredlunds (MD/PhD) forskning, optimerad under årtionden vid Chalmers Tekniska Högskola, i samarbete med Anette Almgren.

Metoden är optimerad för vete, korn och råg där vi kan bryta ner upp till 99% av fytinsyran. Det kan öka biotillgängligheten av mineraler med 5–10 gånger, till nivåer som liknar kött.

Valet av råvara är centralt för att maximera effekten av behandlingen. Vi använder noggrant utvalda spannmål, rika på mineraler och hållbart, ekologiskt odlade. Detta säkerställer högsta möjliga näringsvärde i våra produkter och främjar både hälsa och miljö.

Vår metod är noggrant testad och validerad i samarbete med ledande aktörer inom livsmedelsindustrin, vilket gör den både trovärdig och beprövad. Vi har också goda förutsättningar att optimera för flera sorters sädesslag samt bönor, linser och andra fröer.

För mer information om hydrotermisk behandling och biotillgänglighet, se gärna avsnittet Resurser.

Fytinsyra som binder mineralerna.

Fytinsyran har brytits ned. Mineralerna frigörs och blir biotillgängliga.

Del av produktionsanläggningen på
Warbro Kvarn i Sörmland